Design of Staircases
PROCEDURE
Select the type of building
Enter the length (m) in the range of 4.5 m to 8 m
Enter the width (m) in the range of 0.9 m to 2.5 m
Enter the floor-to-floor height (m) and then select the grade of concrete fck and grade of steel fy
Calculate the height of each flight. Click the Submit button. After three incorrect attempts, correct formula and value will be displayed
Click on “Next Level” to proceed to the next step
Enter the height of riser (m) according to the type of building
Calculate the number of risers, and after three incorrect attempts, the correct formula and value will be displayed
Then calculate the number of treads:
Number of treads = Number of risers – 1Enter the width of tread (m) as per the type of building
Calculate Leff which is:
Leff = Number of treads × Width of treadClick on “Next Level” to proceed to the next step
Enter the modification factor (MF) value
Calculate the effective depth d (m) for waist slab. After three incorrect attempts, the correct formula and value will be displayed
Enter the diameter of bar (mm) to be adopted
Choose the clear cover value (either 15 mm or 20 mm) and calculate the overall depth D
Click on “Next Level” to proceed to the next step
Enter the live load within the range of 3 kN/m to 5 kN/m and the floor finish value within the range of 1 to 2 kN/m
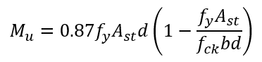
Calculate the factored moment Mu. After three incorrect attempts, the correct formula and value will be displayed
Click on “Next Level” to proceed to the next step
Choose the beam thickness wall width b (mm) from the dropdown list. The effective depth is checked to ensure safety
Calculate Ast (mm2) using appropriate design formulas

Number of bars and spacing is calculated and the summary is displayed
Click on “Next Level” to proceed to next step
Enter the diameter to be adopted for distribution steel
Calculate the value of Astmin. After three incorrect attempts, correct formula and value will be displayed
Number of bars and spacing is calculated and the summary is displayed
Click on “Next Level” to proceed to next step
Calculate percentage of steel
Deflection check is provided to check whether the provided depth is safe in deflection